Δημήτρης Δρίζος
Η ανταλλαγή θέσεων δύο όμοιων σωματιδίων μπορεί να φαίνεται σαν μια μικρή κίνηση. Στην κβαντική φυσική, όμως, είναι καθοριστική.
Στον τρισδιάστατο κόσμο της καθημερινότητας, αυτή η ανταλλαγή μπορεί να συμβεί με δύο τρόπους. Το σύστημα είτε παραμένει ακριβώς το ίδιο, είτε αλλάζει πρόσημο με τρόπο που αναγκάζει τα σωματίδια να μην μοιράζονται την ίδια κατάσταση. Αυτές οι δύο περιπτώσεις καθορίζουν τη διαφορά μεταξύ μποζονίων και φερμιονίων, που οργανώνει το Καθιερωμένο Πρότυπο.
Όμως, αν μειώσουμε τον αριθμό των
διαστάσεων, ο καθαρός αυτός διαχωρισμός αρχίζει να θολώνει. Οι φυσικοί προέβλεπαν από τη δεκαετία του 1970 ότι υπάρχει μια ενδιάμεση κατάσταση: τα οποιονικά σωματίδια ή anyons, που δεν είναι ούτε μποζόνια ούτε φερμιόνια. Το 2020, πειράματα παρατήρησαν anyons σε δισδιάστατα συστήματα υπερψυχμένων, ισχυρά μαγνητισμένων ημιαγωγών ενός ατόμου. Τώρα, δύο μελέτες στο Physical Review A περιγράφουν ένα σύστημα μίας διάστασης όπου μπορούν να υπάρχουν anyons και εξηγούν τη συμπεριφορά τους.Η έρευνα προέρχεται από το Okinawa Institute of Science and Technology και το University of Oklahoma. Ο καθηγητής Thomas Busch της Μονάδας Κβαντικών Συστημάτων του OIST χαρακτήρισε το αποτέλεσμα «μια πόρτα σε βαθύτερα ερωτήματα για το τι μπορούν να κάνουν τα κβαντικά σωματίδια».
Όταν η ανταλλαγή δεν είναι «τίποτα»
Ο γνωστός κανόνας μποζονίων–φερμιονίων πηγάζει από την αδιακρισιμότητα. Στην κλασική ζωή, μπορείτε να ξεχωρίσετε δύο μπίλιες. Στην κβαντική φυσική, δύο όμοια σωματίδια δεν φέρουν κρυφές ταυτότητες. Αν μοιράζονται τις ίδιες κβαντικές ιδιότητες, η φύση δεν μπορεί να τα ξεχωρίσει.
Αυτό έχει σημαντική συνέπεια. Αν η ανταλλαγή δύο όμοιων σωματιδίων παράγει κατάσταση αδιακρίσιμη από την αρχική, οι μετρήσιμες φυσικές ιδιότητες δεν αλλάζουν. Ο PhD φοιτητής Raúl Hidalgo-Sacoto από το OIST το εξηγεί μέσω ενός «παράγοντα ανταλλαγής» που περιγράφει πώς αλλάζει η κυματοσυνάρτηση. Στον τρισδιάστατο χώρο, η εφαρμογή της ανταλλαγής δύο φορές πρέπει να επιστρέφει στην αρχική κατάσταση, περιορίζοντας τον παράγοντα σε +1 ή -1. Το πρώτο αντιστοιχεί σε μποζόνια, το δεύτερο σε φερμιόνια.
Αυτή η μαθηματική επιλογή καθορίζει όλη τη συμπεριφορά: τα μποζόνια συσσωρεύονται, όπως στα λέιζερ και τους συμπυκνωτές Bose-Einstein, ενώ τα φερμιόνια αρνούνται να μοιραστούν την ίδια κατάσταση, σχηματίζοντας τη δομή των ηλεκτρονίων στα άτομα και τον περιοδικό πίνακα.
Η διάσταση αλλάζει τα δεδομένα
Σε χαμηλότερες διαστάσεις, τα σωματίδια έχουν λιγότερους δρόμους για να κινηθούν γύρω από το καθένα. Οι πορείες τους μπορούν να μπλέξουν.
Εκεί, η ανταλλαγή δεν ισοδυναμεί με «τίποτα», ακόμα κι αν οι σωματίδια επιστρέψουν στις θέσεις τους. Χρειάζεται μεγαλύτερη ποικιλία παραγόντων ανταλλαγής.
Τα anyons καλύπτουν αυτό το κενό, με συμπεριφορά που κυμαίνεται συνεχώς μεταξύ των ορίων των μποζονίων και των φερμιονίων.
Η μοναδικότητα της μίας διάστασης
Στα δισδιάστατα anyons, η εξήγηση γίνεται με «πλέξιμο» (braiding) των τροχιών. Στη μία διάσταση, τα σωματίδια σε γραμμή δεν μπορούν να περάσουν το ένα το άλλο χωρίς να διασταυρωθούν.
Αυτό το περιοριστικό στοιχείο είναι κρίσιμο στη νέα μελέτη. Στη μία διάσταση, η ανταλλαγή θέσεων συνδέεται άμεσα με τις αλληλεπιδράσεις μικρής εμβέλειας και όχι μόνο με αφηρημένες τοπολογικές αρχές.
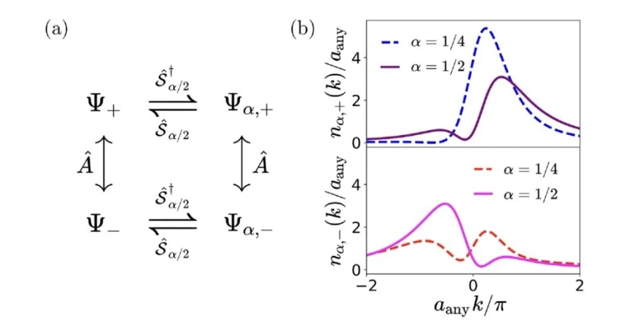
Το «ποσό» της anyon συμπεριφοράς περιγράφεται με την παράμετρο α, που κυμαίνεται από 0 έως 1, ενώ η μελέτη διακρίνει «μποζονικά anyons» από «φερμιονικά anyons», δύο οικογένειες με διαφορετικά συνολικά πρόσημα ανταλλαγής.
Οι συγγραφείς κατασκευάζουν τις κυματοσυναρτήσεις anyon ξεκινώντας από τις κλασικές μποζονικές ή φερμιονικές συναρτήσεις και προσθέτοντας μια α-εξαρτώμενη φάση. Η θεωρία βασίζεται σε δύο ειδών αλληλεπιδράσεις μηδενικής εμβέλειας και εισάγει την έννοια της anyonic scattering length, κρίσιμη για τις πειραματικές δοκιμές.
Μετρήσιμα χαρακτηριστικά
Η ανάλυση εστιάζει στις κατανομές ορμής, οι οποίες δείχνουν διαφορές ανάμεσα σε μποζονικά και φερμιονικά anyons. Οι ερευνητές προβλέπουν ασυμμετρία γύρω από μηδενική ορμή και έναν δευτερεύοντα όρο που μειώνεται όπως k⁻³ για ενδιάμεσες τιμές της α.
Εκπλήσσει ότι εμφανίζεται συμβολή τριών σωματιδίων ακόμα και με αλληλεπιδράσεις δύο σωματιδίων, αποτέλεσμα της προσθήκης της φάσης. Οι υπολογισμοί επιβεβαιώνονται για συστήματα δύο και τριών anyons.
Οι πλατφόρμες υπερψυχμένων ατόμων προσφέρονται για πειράματα μίας διάστασης, όπου η ισχύς της αλληλεπίδρασης μπορεί να ρυθμιστεί. Η μελέτη δείχνει ότι οι κατανομές ορμής μπορούν να αποκαλύψουν τις anyonic συμπεριφορές, θέτοντας θεμέλια για την παρατήρηση νέων κβαντικών φαινομένων.
Από το newsbomb



Δεν υπάρχουν σχόλια:
Δημοσίευση σχολίου